ไว้คราวหน้า X
ไว้คราวหน้า X
ไม่ต้องแสดงข้อความนี้อีกเลย
ไปหน้าที่ 1, 2
ไปที่หน้า
GO
ตั้งกระทู้ใหม่
ฝากรูป
ผู้ตั้ง
ข้อความ
ออนไลน์
ปลายอาชีพค้าแข้ง
Status:
: 0 ใบ : 0 ใบ
เข้าร่วม: 10 Oct 2009
ตอบ: 32477
ที่อยู่: ดาวโลก
โพสเมื่อ: Sat Dec 27, 2025 11:30
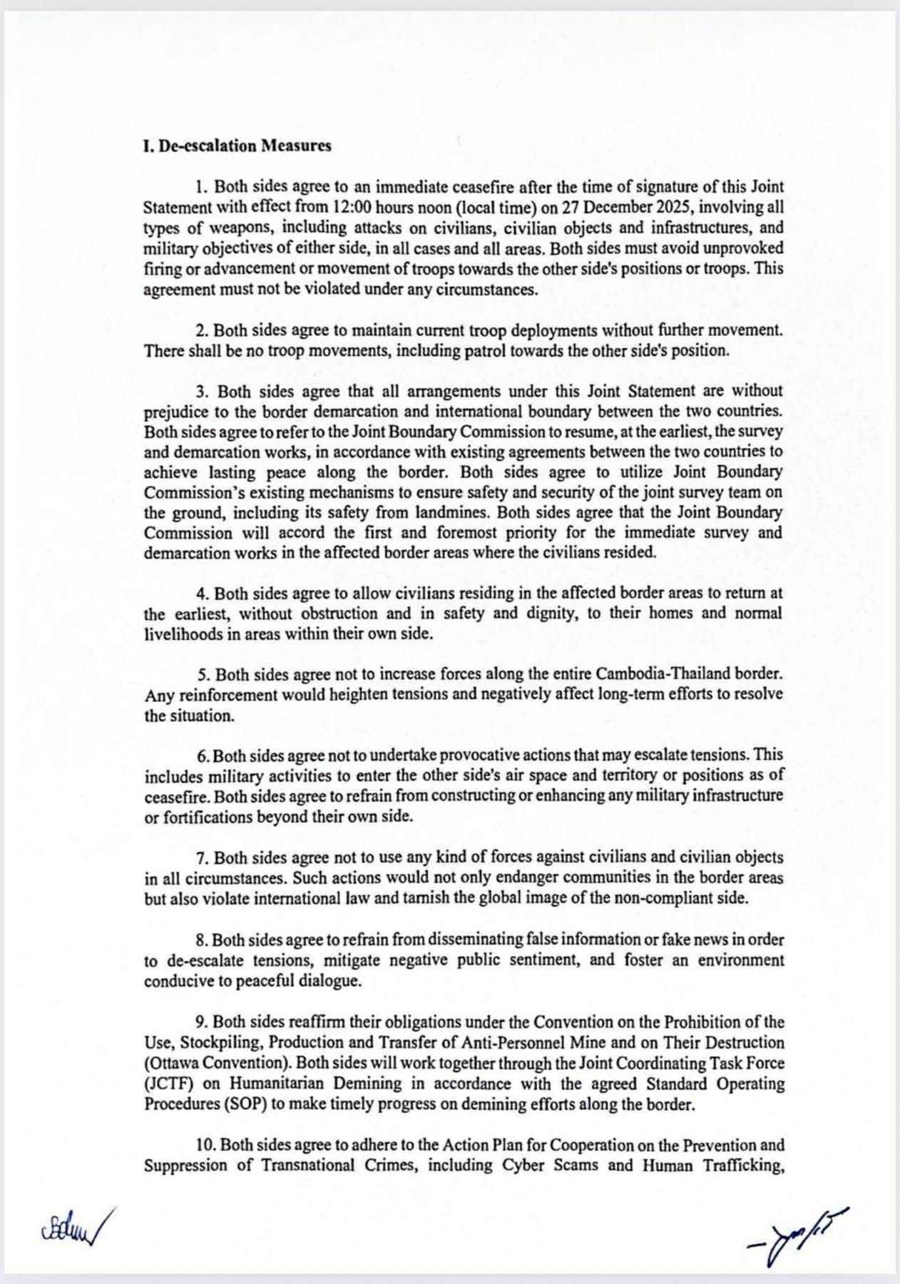
ไทย-กัมพูชา ลงนามในข้อตกลงหยุดยิงแล้ว >เที่ยงวันนี้ (12.00 ของวันที่ 27 ธ.ค.)<
ไทย-กัมพูชา ลงนามในข้อตกลงหยุดยิงแล้ว

- ทั้งสองฝ่ายจะหยุดยิงเที่ยงวันนี้ (12.00 ของวันที่ 27 ธ.ค.)
- ทหารทั้งสองฝ่ายอยู่ที่ไหนก็อยู่ที่เดิม
- จะกลับไปเริ่มงานตามข้อตกลงในที่ประชุม JBC ทันที
- จะอนุญาตให้ชาวบ้านกลับไปบ้านตัวเองในเขตแดนของตัวเองเท่านั้น
- ไม่โจมตีพลเรือนและสิ่งปลูกสร้างขอพลเรือน
- ตกลงที่จะไม่เติมกำลัง
- ไม่ยั่วยุ
- ไม่ปล่อย Fake News
- ตกลงที่จะปฏิบัติตามอนุสัญญาออตตาวาและดำเนินการเก็บกู้ทุ่นระเบิดทันที
- จะร่วมปราบสแกมเมอร์
- ฝ่ายไทยปล่อย 18 เชลยถ้ากัมพูชาหยุดยิงจริงภายใน 72 ชม.นับจากนี้
- สนับสนุนบทบาทของ AOT ในการสังเกตุการณ์
- จัดตั้งหน่วยประสานงานไทยกัมพูชาเพื่อประสานงานการหยุดยิง
- กองทัพทั้งสองฝ่ายจะสื่อสารกันอย่างต่อเนื่อง
- สื่ออย่างเป็นทางการจะสื่อสารกันเพื่อไม่ให้มีข้อมูลที่ผิดพลาด


Spoil


 




#ชายแดนไทยกัมพูชา
แก้ไขล่าสุดโดย ไม่มี ไม่หนี ไม่จ่าย เมื่อ Sat Dec 27, 2025 11:38, ทั้งหมด 1 ครั้ง
1
0
หากโดน 40 เรื้อน จะถูกแบน
โหวตเป็นกระทู้แนะนำ

Victoria Concordia Crescit __ Once a Gooner Always a Gooner
ออฟไลน์
ดาวซัลโวโอลิมปิก
Status: word not enough to talk about football
: 0 ใบ : 0 ใบ
เข้าร่วม: 06 Jun 2010
ตอบ: 19497
ที่อยู่: Urban Forest
โพสเมื่อ: Sat Dec 27, 2025 11:33
[RE]ไทย-กัมพูชา ลงนามในข้อตกลงหยุดยิงแล้ว >เที่ยงวันนี้ (12.00 ของวันที่ 27 ธ.ค.)<
ไว้ใจได้รึ
โพสต์บนแอป Soccersuck บน iOS
1
0
หากโดน 40 เรื้อน จะถูกแบน
ออนไลน์
ปลายอาชีพค้าแข้ง
Status:
: 0 ใบ : 0 ใบ
เข้าร่วม: 18 May 2022
ตอบ: 13152
ที่อยู่:
โพสเมื่อ: Sat Dec 27, 2025 11:34
[RE: ไทย-กัมพูชา ลงนามในข้อตกลงหยุดยิงแล้ว >เที่ยงวันนี้ (12.00 ของวันที่ 27 ธ.ค.)<]
เหมนเตรียมประกาศชัยชนะ คอยดู
1
0
หากโดน 40 เรื้อน จะถูกแบน
ออฟไลน์
นักบอลถ้วย ก.
Status:
: 0 ใบ : 0 ใบ
เข้าร่วม: 13 Mar 2018
ตอบ: 11254
ที่อยู่:
โพสเมื่อ: Sat Dec 27, 2025 11:34
[RE: ไทย-กัมพูชา ลงนามในข้อตกลงหยุดยิงแล้ว >เที่ยงวันนี้ (12.00 ของวันที่ 27 ธ.ค.)<]
แนะนำเพื่อน ที่เพจ Thai burma railway ทหารบอกยึดได้ 99 เปอร์เซ็นต์ อย่าไปเชื่อ
2
0
หากโดน 40 เรื้อน จะถูกแบน
ออนไลน์
แข้งดัทช์ลีก
Status:
: 0 ใบ : 0 ใบ
เข้าร่วม: 02 Aug 2021
ตอบ: 7352
ที่อยู่:
โพสเมื่อ: Sat Dec 27, 2025 11:37
[RE: ไทย-กัมพูชา ลงนามในข้อตกลงหยุดยิงแล้ว >เที่ยงวันนี้ (12.00 ของวันที่ 27 ธ.ค.)<]
มีข้อนึง

- ทั้งสองฝ่ายตกลงที่จะอนุญาตให้พลเรือนที่อาศัยอยู่ในพื้นที่ชายแดนที่ได้รับผลกระทบ สามารถกลับคืนสู่บ้านเรือนและการดำรงชีวิตตามปกติของตนได้โดยเร็วที่สุด โดยปราศจากการขัดขวาง และด้วยความปลอดภัยและศักดิ์ศรี ภายในพื้นที่ของฝ่ายตนเอง

ยังไงนะ
เดี๋ยวเขมรมันตีหน้ามึนเอาคนกลับ หนองจาน หนองหญาแก้ว ฯลฯ พื้นที่แถวนั้น

ถ้าเป็นงี้ทหารเราเสียฟรีเลยอ่ะ
1
0
หากโดน 40 เรื้อน จะถูกแบน
ออนไลน์
นักบอลถ้วย ค.
Status:
: 0 ใบ : 0 ใบ
เข้าร่วม: 15 Mar 2020
ตอบ: 3982
ที่อยู่:
โพสเมื่อ: Sat Dec 27, 2025 11:38
[RE: ไทย-กัมพูชา ลงนามในข้อตกลงหยุดยิงแล้ว >เที่ยงวันนี้ (12.00 ของวันที่ 27 ธ.ค.)<]
บางคนบอกเที่ยงวันบางคนบอกเที่ยงคืนงงจัด แต่ไม่ทีผลหรอก มันก้แค่เติมของแล้วมาใหม่
1
0
หากโดน 40 เรื้อน จะถูกแบน
COYS!
ออนไลน์
ผู้ช่วยแมวมอง
Status: You'll Never Walk Alone
: 0 ใบ : 0 ใบ
เข้าร่วม: 14 Aug 2012
ตอบ: 30134
ที่อยู่: สุสานโบราณ
โพสเมื่อ: Sat Dec 27, 2025 11:40
ไทย-กัมพูชา ลงนามในข้อตกลงหยุดยิงแล้ว >เที่ยงวันนี้ (12.00 ของวันที่ 27 ธ.ค.)<
การันตี แม่งมีลอบกัดแล้วโบ้ยว่าเราไม่รักษาสัญญาเราเริ่มก่อนแน่นอน
โพสต์บนแอป Soccersuck บน Android
1
0
หากโดน 40 เรื้อน จะถูกแบน


"You'll never walk alone "& SCG Redvolution

ออนไลน์
ปลายอาชีพค้าแข้ง
Status:
: 0 ใบ : 0 ใบ
เข้าร่วม: 18 May 2022
ตอบ: 13152
ที่อยู่:
โพสเมื่อ: Sat Dec 27, 2025 11:43
[RE]ไทย-กัมพูชา ลงนามในข้อตกลงหยุดยิงแล้ว >เที่ยงวันนี้ (12.00 ของวันที่ 27 ธ.ค.)<
huun พิมพ์ว่า:
มีข้อนึง

- ทั้งสองฝ่ายตกลงที่จะอนุญาตให้พลเรือนที่อาศัยอยู่ในพื้นที่ชายแดนที่ได้รับผลกระทบ สามารถกลับคืนสู่บ้านเรือนและการดำรงชีวิตตามปกติของตนได้โดยเร็วที่สุด โดยปราศจากการขัดขวาง และด้วยความปลอดภัยและศักดิ์ศรี ภายในพื้นที่ของฝ่ายตนเอง

ยังไงนะ
เดี๋ยวเขมรมันตีหน้ามึนเอาคนกลับ หนองจาน หนองหญาแก้ว ฯลฯ พื้นที่แถวนั้น

ถ้าเป็นงี้ทหารเราเสียฟรีเลยอ่ะ  

ก็เจอ คฝ เหมือนรอบที่แล่ว
โพสต์บนแอป Soccersuck บน iOS
1
0
หากโดน 40 เรื้อน จะถูกแบน
ออฟไลน์
นักเตะหมู่บ้าน
Status:
: 0 ใบ : 0 ใบ
เข้าร่วม: 26 Sep 2009
ตอบ: 1276
ที่อยู่: ดาวนาเม็ค
โพสเมื่อ: Sat Dec 27, 2025 11:43
[RE: ไทย-กัมพูชา ลงนามในข้อตกลงหยุดยิงแล้ว >เที่ยงวันนี้ (12.00 ของวันที่ 27 ธ.ค.)<]
เหมนคุมทหารตัวเองไม่ได้หรอก เซ็นไปกี่รอบแล้ว แค่กระดาษแผ่นหนึ่ง
1
0
หากโดน 40 เรื้อน จะถูกแบน
ออนไลน์
โค้ช B-License
Status: Middle fingers up if you don't give a f**k
: 0 ใบ : 0 ใบ
เข้าร่วม: 05 Apr 2010
ตอบ: 44061
ที่อยู่: ข้าวเหนียวมะม่วงรสช็อคโกแลต
โพสเมื่อ: Sat Dec 27, 2025 11:44
[RE: ไทย-กัมพูชา ลงนามในข้อตกลงหยุดยิงแล้ว >เที่ยงวันนี้ (12.00 ของวันที่ 27 ธ.ค.)<]
อ่านจบแล้ว คือทิ้งข้อ 4 ไว้เพื่อเป็นเชื้อในการเปิดรอบ 3 ชัดๆเลย แนว ทภ2 น่าจะปิดเกมได้หมดละตอนนี้ ยกเว้นที่ช่องบก รอฟังบ่ายสองอีกที แนวฝั่งภาค 1 มันผลประโยชน์ร่วมกันเยอะ 3 บ้านที่สระแก้วยังไงก็ไม่เสียคืนหรอก เพราะเราแ้างอธิปไตยของเราแต่รอบ 3 คงได้มาเปิดโซนฝั่งนี้แทนละ

เบื่อพวกบ้าสงครามใน fb เหลือเกิน นั่งเชียร์หน้าจอให้รบเพื่อสั่งสอนฮุนเซน ทหารตายทีก็สดุดีที ไม่ใช่ลูกหลานตัวเอง
แก้ไขล่าสุดโดย Antivist เมื่อ Sat Dec 27, 2025 12:42, ทั้งหมด 1 ครั้ง
7
0
หากโดน 40 เรื้อน จะถูกแบน

SAVE OF THE CENTURY !!

ออฟไลน์
ปลายอาชีพค้าแข้ง
Status:
: 0 ใบ : 1 ใบ
เข้าร่วม: 13 Jun 2007
ตอบ: 48263
ที่อยู่: บ้านนอก
โพสเมื่อ: Sat Dec 27, 2025 11:47
[RE: ไทย-กัมพูชา ลงนามในข้อตกลงหยุดยิงแล้ว >เที่ยงวันนี้ (12.00 ของวันที่ 27 ธ.ค.)<]
ลงนามพอเป็นพิธีกันไป เหมือนบอกชาวโลก แต่กูพร้อมใส่เต็มที่ ตอนนี้ให้เบรคพักปีใหม่เฉยๆ ดูทรงล่ะ
1
0
หากโดน 40 เรื้อน จะถูกแบน

ออนไลน์
กำเนิดดาวรุ่ง
Status:
: 0 ใบ : 0 ใบ
เข้าร่วม: 28 Jul 2020
ตอบ: 66
ที่อยู่:
โพสเมื่อ: Sat Dec 27, 2025 11:51
[RE: ไทย-กัมพูชา ลงนามในข้อตกลงหยุดยิงแล้ว >เที่ยงวันนี้ (12.00 ของวันที่ 27 ธ.ค.)<]
บางทีก็สงสัยคนที่ไม่อยากให้อยู่ยิง แล้วจะให้ทำยังไง ให้ยิงกันต่อไปเรื่อยๆ หรือให้บุกให้ถึงพนมเปญเลยหรือไง
1
0
หากโดน 40 เรื้อน จะถูกแบน
ออนไลน์
แข้งดัทช์ลีก
Status:
: 0 ใบ : 0 ใบ
เข้าร่วม: 02 Aug 2021
ตอบ: 7352
ที่อยู่:
โพสเมื่อ: Sat Dec 27, 2025 11:58
[RE: ไทย-กัมพูชา ลงนามในข้อตกลงหยุดยิงแล้ว >เที่ยงวันนี้ (12.00 ของวันที่ 27 ธ.ค.)<]
SeQueda พิมพ์ว่า:
huun พิมพ์ว่า:
มีข้อนึง

- ทั้งสองฝ่ายตกลงที่จะอนุญาตให้พลเรือนที่อาศัยอยู่ในพื้นที่ชายแดนที่ได้รับผลกระทบ สามารถกลับคืนสู่บ้านเรือนและการดำรงชีวิตตามปกติของตนได้โดยเร็วที่สุด โดยปราศจากการขัดขวาง และด้วยความปลอดภัยและศักดิ์ศรี ภายในพื้นที่ของฝ่ายตนเอง

ยังไงนะ
เดี๋ยวเขมรมันตีหน้ามึนเอาคนกลับ หนองจาน หนองหญาแก้ว ฯลฯ พื้นที่แถวนั้น

ถ้าเป็นงี้ทหารเราเสียฟรีเลยอ่ะ  

ก็เจอ คฝ เหมือนรอบที่แล่ว  


ไม่ต้องห่วง เขมรมันหน้ามึนแน่นอน ถือไม้ง่ามคนป่าเข้ามาเป็นฝูง
1
0
หากโดน 40 เรื้อน จะถูกแบน
ออนไลน์
นักเตะอบต.
Status:
: 0 ใบ : 0 ใบ
เข้าร่วม: 14 Mar 2008
ตอบ: 2069
ที่อยู่: RaMa IX
โพสเมื่อ: Sat Dec 27, 2025 11:59
[RE: ไทย-กัมพูชา ลงนามในข้อตกลงหยุดยิงแล้ว >เที่ยงวันนี้ (12.00 ของวันที่ 27 ธ.ค.)<]
หยุดยิง ให้ทหารได้พัก ได้เติมอาวุธ เพื่ออที่จะบวกกันใหม่
1
0
หากโดน 40 เรื้อน จะถูกแบน
ออนไลน์
นักบอลถ้วย ค.
Status:
: 0 ใบ : 0 ใบ
เข้าร่วม: 15 Mar 2020
ตอบ: 3982
ที่อยู่:
โพสเมื่อ: Sat Dec 27, 2025 12:03
[RE: ไทย-กัมพูชา ลงนามในข้อตกลงหยุดยิงแล้ว >เที่ยงวันนี้ (12.00 ของวันที่ 27 ธ.ค.)<]
12.02 ฝั่งไทยเงียบกริบ รายงานจากพื้นที่
1
0
หากโดน 40 เรื้อน จะถูกแบน
COYS!
ไปหน้าที่ 1, 2
ไปที่หน้า
GO
ตั้งกระทู้ใหม่
กรุณาระบุเหตุผลที่จะแจ้งความ
ผู้ต้องหา:
ข้อความ:
Submit
Cancel
กรุณาเลือก Forum และ ประเภทกระทู้
Forum:

ประเภท:
Submit
Cancel