ดาวซัลโวโอลิมปิก
Status:

: 0 ใบ

: 0 ใบ
เข้าร่วม: 01 Jun 2018
ตอบ: 11469
ที่อยู่:
โพสเมื่อ: Fri Oct 24, 2025 00:12
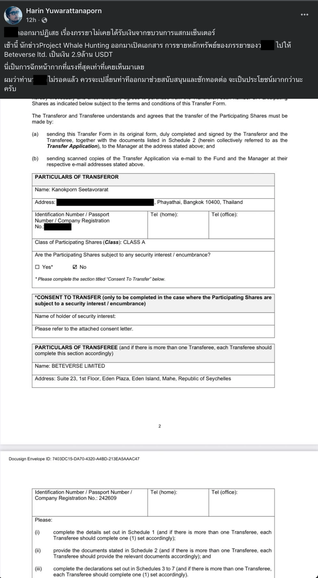
[RE: นักข่าว Project Whale Hunting ออกมาเปิดเอกสาร การขายหลักทรัพย์ของภรรยาของ xxx]
ก็อย่างที่ท่านแสดงออก กำลังเป็นกระแสสังคมแทนที่จะไปชี้แจง ปปง แต่เสือกจะขอชี้แจงคนแฉ คงอยากเจรจาตัวต่อตัว ไม่ก็ดูเอกสารหลุดจะได้หาช่องทางวิ่งเต้นว่าที่หลุดนั้นมาจากทางไหน